专为高三考生提供有价值的资讯

当前位置:爱高三高考资讯成绩查询广东高考一分一段表位次及排名完整版(2025年参考)

广东高考一分一段表位次及排名完整版(2025年参考)

时间:2025-01-02作者:赵乐玮一键复制全文保存为WORD

广东高考“一分一段表”是以“1分”为单位,统计获得该分数的考生人数以及从最高分到该分数的累计人数的表格,直观地展现了广东考生在各个分数点上的分布状况。下文是小编整理的2024广东高考一分一段表位次及排名完整版,供2025届考生参考!

2024广东高考一分一段表位次及排名完整版(2025年参考)

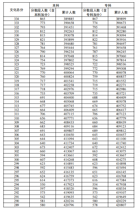
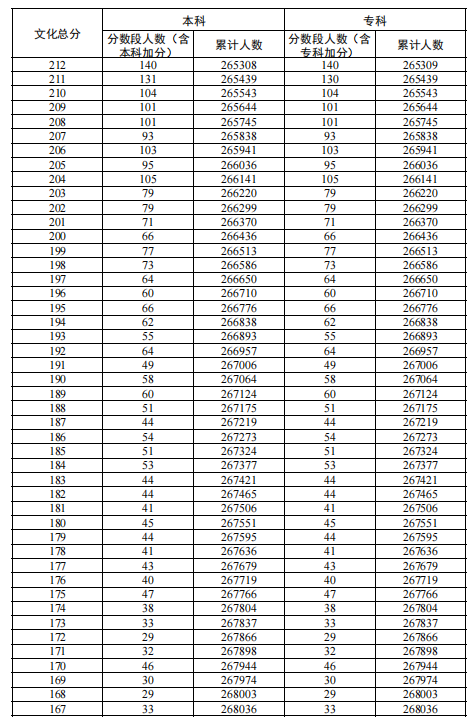
一、广东2024高考历史类一分一段表

二、广东2024高考物理类一分一段表



广东考生如何看一分一段表

(一)分数与位次的对应

在“一分一段表”中,我们首先要找到自己的成绩对应的那一行,这一行中的“本段人数”就是与你考相同分数的考生人数,而“累计人数”则代表了你的成绩在广东考生中的最低位次。假设小明在高考中取得了600分,通过查看“一分一段表”,发现600分对应的“本段人数”为100人,“累计人数”为5000人,这就意味着全广东有100名考生与小明分数相同,而小明的成绩至少排在全广东第5000名。

(二)累计人数的含义

累计人数的重要性在于,它让考生清楚地知道自己在竞争中的位置。如果某所高校在往年的录取中,其最低录取位次在4800名左右,那么小明就可以大致判断出自己有一定的机会被这所高校录取,但同时也要考虑到其他因素,如当年的招生计划变化、报考该高校的考生人数增减等。通过对比自己的位次与目标高校历年录取位次,考生能够更精准地选择合适的志愿,避免盲目填报导致的志愿滑档或高分低就的情况。

广东高考一分一段表位次及排名完整版(2025年参考)

将本文的Word文档下载到电脑,方便收藏和打印
推荐度:
点击下载文档文档为doc格式

小编推荐

1.哈尔滨石油学院是几本?2025年高考多少分能上及报考建议

2.2025年高考最低多少分能报新疆科技职业技术学院?附新疆科技职业技术学院历年录取分数线及位次

3.2025年各省多少分可以被河南工业职业技术学院录取?历年录取分数线

4.2025年各省多少分可以被浙江纺织服装职业技术学院录取?历年录取分数线

5.江西服装学院是几本?2025年高考多少分能上及报考建议

6.2025江苏物化生323分左右能上什么大学 可以报考的院校名单

7.2025年广州华商学院要考多少分才能上?历年录取分数线及报考指南(含预测)

8.包头职业技术学院分省招生人数及招生专业2025年招生计划参考

相关文章

Copyright 2019-2029 http://www.2gaosan.com 【爱高三】皖ICP备18021724号-6

声明: 本站 所有软件和文章来自互联网 如有异议 请与本站联系 本站为非赢利性网站 不接受任何赞助和广告