专为高三考生提供有价值的资讯

当前位置:爱高三高考试题高考数学试题2023宁夏高考理科数学试题答案【word精校版】

2023宁夏高考理科数学试题答案【word精校版】

时间:2023-06-12作者:忆锋一键复制全文保存为WORD

2023年高考理科数学试题答案 (全国乙卷)

单选题

1、B 2、A 3、D 4、D 5、C 6、D

7、C 8、B 9、C 10、B 11、D 12、A

填空题

13、9/4 14、8 15、-2

16

综合题

17、  (1) 11 ; 61 (2)有显著提高

18、  (1)首先由余弦定理求得边长BC的值为

,然后由余弦定理可得

,最后由同角三角函数基本关系可得

;

  (2)

  由题意得

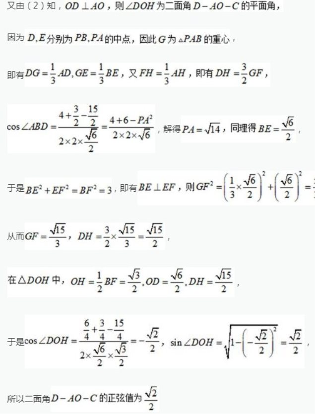
19

20

21

22

第一小题

第二小题

2023宁夏高考理科数学试题答案【word精校版】

将本文的Word文档下载到电脑,方便收藏和打印
推荐度:
点击下载文档文档为doc格式

小编推荐

1.哈尔滨石油学院是几本?2025年高考多少分能上及报考建议

2.2025年高考最低多少分能报新疆科技职业技术学院?附新疆科技职业技术学院历年录取分数线及位次

3.江西服装学院是几本?2025年高考多少分能上及报考建议

4.2025年高考多少分能上陕西艺术职业学院?预测各省份录取分数线(附2024年数据及报考指南)

5.2025年高考多少分能上桂林学院?预测各省份录取分数线(附2024年数据及报考指南)

6.2025年高考多少分能上湖北第二师范学院?预测各省份录取分数线(附2024年数据及报考指南)

7.湖北高考成绩排名188000名左右报什么大学好(2025年参考)

8.2025年高考多少分能上滁州城市职业学院?预测各省份录取分数线(附2024年数据及报考指南)

相关文章

Copyright 2019-2029 http://www.2gaosan.com 【爱高三】皖ICP备18021724号-6

声明: 本站 所有软件和文章来自互联网 如有异议 请与本站联系 本站为非赢利性网站 不接受任何赞助和广告