专为高三考生提供有价值的资讯

当前位置:爱高三高考资讯成绩查询广东2024高考物理类一分一段表公布 最新成绩位次排名

广东2024高考物理类一分一段表公布 最新成绩位次排名

时间:2024-07-03作者:南瓜一键复制全文保存为WORD

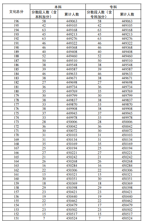
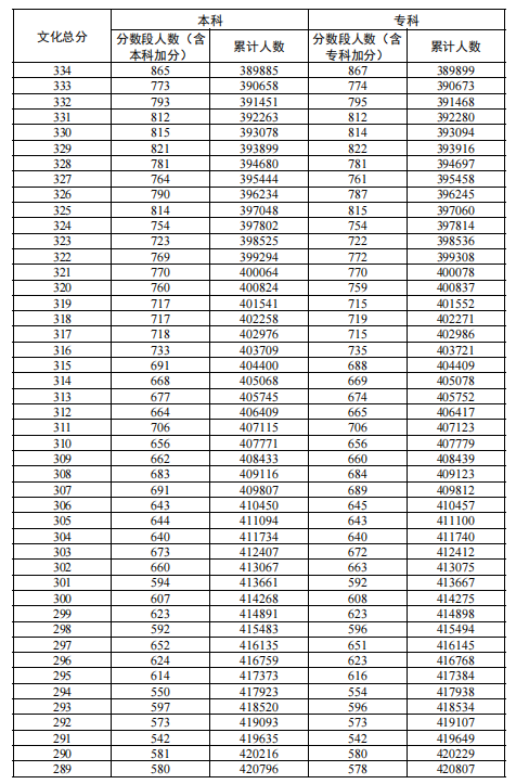
2024广东高考成绩物理类一分一段表已经公布,根据物理类一分一段表显示,695分及以上的广东考生有31人;690分段的广东物理类考生有11人,累计人数为73人。更多相关内容小编整理在下方了,往下看吧。

2024广东高考一分一段表最新公布【物理类】

考生可以根据一分一段表来确定自己的志愿填报策略,通过比较往年的招生计划和一分一段表,可以更准确地预测自己被录取的可能性。以下是详细的广东物理类一分一段表,供各位考生查阅。

高考一分一段表有什么作用

显示每个分数的考生人数。通过一分一段表,考生可以了解自己在全省考生中的排名和位置,以及与自己分数相同的考生人数。

确定分数线的位置。一分一段表有助于考生和家长理解分数线的意义,以及分数线是如何确定的。

填报志愿的参考。考生可以根据一分一段表来确定自己的志愿填报策略,通过比较往年的招生计划和一分一段表,可以更准确地预测自己被录取的可能性。

显示累计人数。一分一段表还显示了每个分数段的累计人数,帮助考生了解自己在全省的排名情况。

分析志愿梯度。考生可以利用一分一段表来分析平行志愿的梯度,比如从第一个志愿到最后一个志愿的排名变化和分数差距。

换算等效分。一分一段表还可以用于换算考生的等效分,即根据考生的位次和往年的分数段,估算出考生的等效分数,从而更准确地评估考生的竞争力

什么是高考一分一段表

一分一段表,是将全省同科类考生的档案分从高到低排列,再按每1分一段,统计“本段人数”;从本段向上一直到最高分段的所有“本段人数”相加,则为“累计人数”。

一分一段表是包含了加分的,加分也会体现在一分一段表中,考生不必担心是否有成绩在自己后面的考生,通过加分后超越自己。

建议考生下载一份本省的一分一段表,便于随时分析、使用。一分一段表上显示出每一个分数全省的考生有多少名,这个数据的参考价值最大。

广东2024高考物理类一分一段表公布 最新成绩位次排名

将本文的Word文档下载到电脑,方便收藏和打印
推荐度:
点击下载文档文档为doc格式

小编推荐

1.哈尔滨石油学院是几本?2025年高考多少分能上及报考建议

2.2025年高考最低多少分能报新疆科技职业技术学院?附新疆科技职业技术学院历年录取分数线及位次

3.江西服装学院是几本?2025年高考多少分能上及报考建议

4.2025年高考多少分能上陕西艺术职业学院?预测各省份录取分数线(附2024年数据及报考指南)

5.重庆物理类500分能考哪些大学 2025考生稳上的大学名单

6.2025年高考多少分能上沈阳音乐学院?预测各省份录取分数线(附2024年数据及报考指南)

7.2025年高考多少分能上上海民航职业技术学院?预测各省份录取分数线(附2024年数据及报考指南)

8.2025年高考多少分能上桂林学院?预测各省份录取分数线(附2024年数据及报考指南)

相关文章

Copyright 2019-2029 http://www.2gaosan.com 【爱高三】皖ICP备18021724号-6

声明: 本站 所有软件和文章来自互联网 如有异议 请与本站联系 本站为非赢利性网站 不接受任何赞助和广告